info@bio-chemicals.de

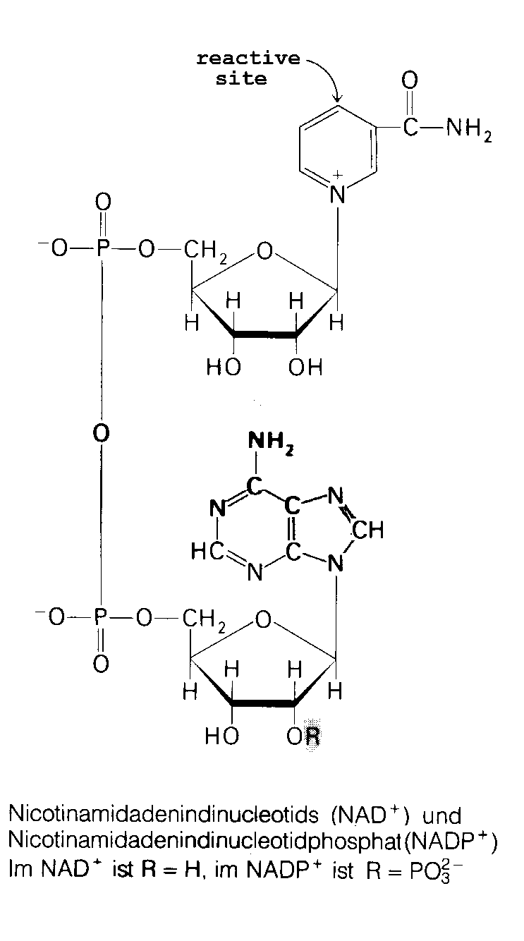
NAD
Nicotineamide adenine dinucleotide
[53-84-9]


 
 

Characteristics
C21H27N7O14P2
Molekulargewicht / molecular weight  663.4 g/mol
Gehalt / assay  > 97.5%

Substrate Spectrum
various

Application
beta-nicotinamide adenine coenzyme
NAD+ is electron acceptor in many reactions of the following type

Quantities